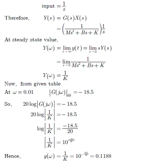
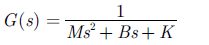
Q. 54 The transfer function of a mass-spring damper system is given by
The frequency response data for the system are given in the following table.
The unit step response of the system approaches a steady state value
of________.
Answer: (0.12)
Explanation:














