Gate EC-2015 – 2 Question Paper With Solutions

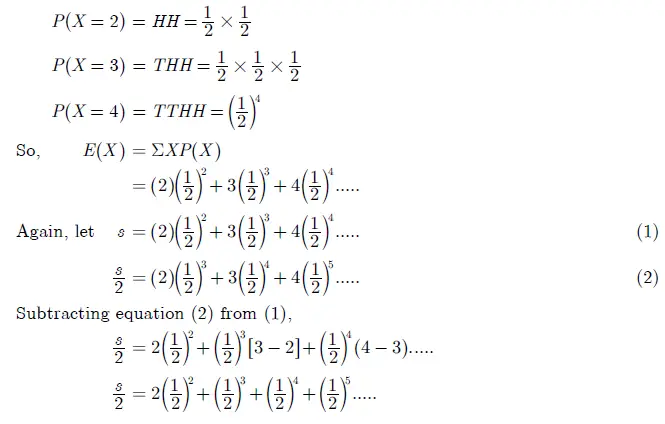
Q. 40 Let the random variable X represent the number of times a fair coin needs to be tossed till two consecutive heads appear for the first time. The expectation of X is_______.

Answer: (1.5)

Explanation:

Gate EC-2015 - 2 Question Paper With Solutions
Gate EC-2015 - 2 Question Paper With Solutions

Gate EC-2015 - 2 Question Paper With Solutions

Learn More:   Gate EC-2014 - 2 Question Paper With Solutions

LEAVE A REPLY

Please enter your comment!
Please enter your name here