Gate EC-2015 – 2 Question Paper With Solutions

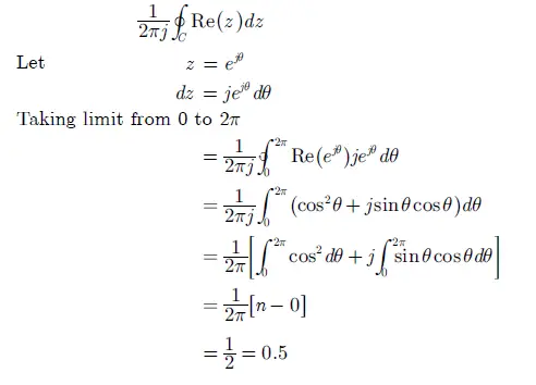
Q. 65 If C denotes the counter clockwise unit circle, the value of the contour integralGate EC-2015 - 2 Question Paper With Solutions

Answer: (0.5)

Explanation:
Gate EC-2015 - 2 Question Paper With Solutions

Learn More:   Gate EE-2007 Question Paper With Solutions

LEAVE A REPLY

Please enter your comment!
Please enter your name here