Gate EC-2015 – 2 Question Paper With Solutions

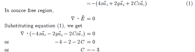
Q. 29 In a source free region in vacuum, if the electrostatic potentialGate EC-2015 - 2 Question Paper With Solutions the value of constant must be _______

Answer: (-3)

Explanation:
Gate EC-2015 - 2 Question Paper With SolutionsGate EC-2015 - 2 Question Paper With Solutions

Learn More:   Gate CS-2015-2 Question Paper With Solutions

LEAVE A REPLY

Please enter your comment!
Please enter your name here