Gate EC-2015 – 2 Question Paper With Solutions

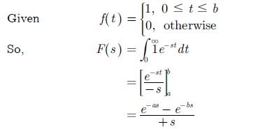
Q. 20 The bilateral Laplace transform of a function
Gate EC-2015 - 2 Question Paper With Solutions
Gate EC-2015 - 2 Question Paper With Solutions

Answer: (C)

Explanation:
Gate EC-2015 - 2 Question Paper With Solutions

Learn More:   Gate EC-2014 - 1 Question Paper With Solutions

LEAVE A REPLY

Please enter your comment!
Please enter your name here