Gate EC-2015 – 2 Question Paper With Solutions

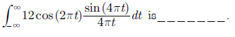
Q. 52 The value of the integral Gate EC-2015 - 2 Question Paper With Solutions

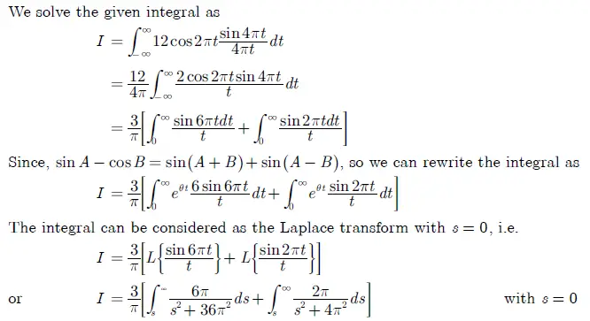
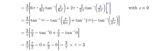
Answer: (3)

Explanation:
Gate EC-2015 - 2 Question Paper With SolutionsGate EC-2015 - 2 Question Paper With Solutions

Learn More:   Gate EE-2014-2 Question Paper With Solutions

LEAVE A REPLY

Please enter your comment!
Please enter your name here