Gate EC-2015 – 2 Question Paper With Solutions

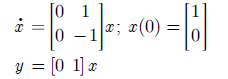
Q. 44 The state variable representation of a system is given as
Gate EC-2015 - 2 Question Paper With Solutions
The response y(t) is

(A) sin(t)

(B) Gate EC-2015 - 2 Question Paper With Solutions

(C) 1 – cos (t)

(D) 0

Answer: (D)

Explanation:
Gate EC-2015 - 2 Question Paper With Solutions

Gate EC-2015 - 2 Question Paper With Solutions

Learn More:   Gate EE-2007 Question Paper With Solutions

LEAVE A REPLY

Please enter your comment!
Please enter your name here