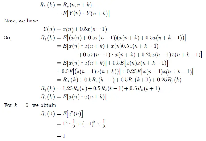
Q. 38 is an independent and identically distributed (i, i, d) random process with
equally likely to be +1 or -1.
is another random process obtained as
. The autocorrelation function of
denoted by
is

Answer: (B)
Explanation:

Q. 38 is an independent and identically distributed (i, i, d) random process with
equally likely to be +1 or -1.
is another random process obtained as
. The autocorrelation function of
denoted by
is

Answer: (B)
Explanation:
