Gate EC-2015 – 2 Question Paper With Solutions

Q. 49 A zero mean white Gaussian noise having power spectral density Gate EC-2015 - 2 Question Paper With Solutionsis passed through an LTI filter whose impulse response h(t) is shown in the figure. The variance of the filtered noise at t = 4 is

Gate EC-2015 - 2 Question Paper With Solutions
Gate EC-2015 - 2 Question Paper With Solutions

Answer:(A)

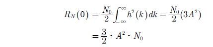
Explanation:
Gate EC-2015 - 2 Question Paper With Solutions

Gate EC-2015 - 2 Question Paper With Solutions

Learn More:   Gate EE-2016-2 Question Paper With Solutions

LEAVE A REPLY

Please enter your comment!
Please enter your name here