Gate EC-2015 – 2 Question Paper With Solutions

Q. 23 The signal Gate EC-2015 - 2 Question Paper With Solutionsis ideally sampled at a sampling frequency of 15 Hz. The sampled signal is passed through a filter with impulse responseGate EC-2015 - 2 Question Paper With SolutionsGate EC-2015 - 2 Question Paper With Solutions The filter output is

Gate EC-2015 - 2 Question Paper With Solutions

Answer: (A)

Explanation:

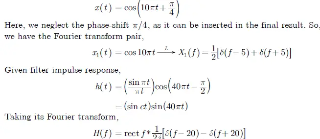
Gate EC-2015 - 2 Question Paper With SolutionsGate EC-2015 - 2 Question Paper With Solutions

Gate EC-2015 - 2 Question Paper With SolutionsGate EC-2015 - 2 Question Paper With Solutions Gate EC-2015 - 2 Question Paper With Solutions Gate EC-2015 - 2 Question Paper With Solutions

Gate EC-2015 - 2 Question Paper With Solutions

Learn More:   Gate EC-2015 - 3 Question Paper With Solutions

LEAVE A REPLY

Please enter your comment!
Please enter your name here