Gate EC-2015 – 2 Question Paper With Solutions

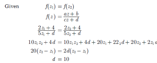
Q. 32 Let Gate EC-2015 - 2 Question Paper With Solutions a = 2, b = 4 and c = 5, then d should be equal to _______.

Answer: (10)

Explanation;

Gate EC-2015 - 2 Question Paper With Solutions

Learn More:   Gate ME 2015-1 Question Paper With Solutions

LEAVE A REPLY

Please enter your comment!
Please enter your name here