Gate EC-2015 – 2 Question Paper With Solutions

Q. 34 For the signal flow graph shown in the figure, the value of
Gate EC-2015 - 2 Question Paper With Solutionsis

Gate EC-2015 - 2 Question Paper With SolutionsGate EC-2015 - 2 Question Paper With Solutions

Answer: (B)

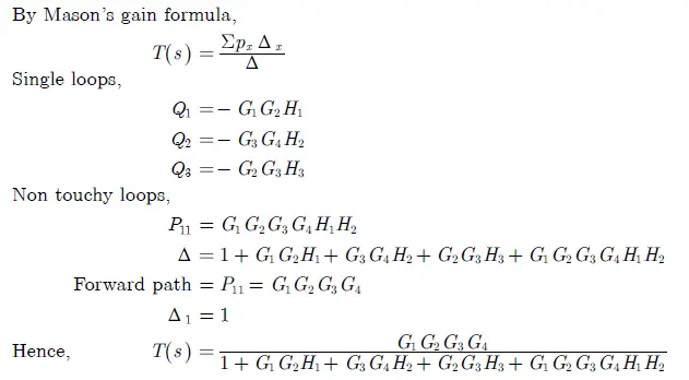
Explanation:

Gate EC-2015 - 2 Question Paper With Solutions

Gate EC-2015 - 2 Question Paper With Solutions
Gate EC-2015 - 2 Question Paper With Solutions

Learn More:   Gate ME-2019-2 Question Paper With Solutions

LEAVE A REPLY

Please enter your comment!
Please enter your name here