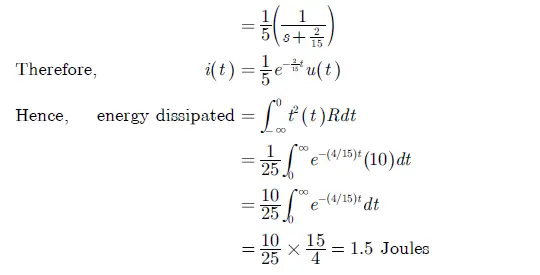
Q. 63 In the circuit shown, the initial voltages across the capacitors are 1V and 3V, respectively. The switch is closed at time t = 0. The total energy dissipated (in Joules) in the resistor R until steady state is reached is_______.
Answer: (1.5)
Explanation:















