Gate EC-2015 – 2 Question Paper With Solutions

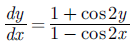
Q. 26 The general solution of the differential equation Gate EC-2015 - 2 Question Paper With Solutions

(A) tany − cot x = c (c is a constant)

(B) tanx − cot y = c (c is a constant)

(C) tany + cot x = c (c is a constant)

(D) tanx + cot y = c (c is a constant)

Answer: (C)

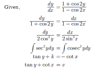
Explanation:

Gate EC-2015 - 2 Question Paper With Solutions

Learn More:   Gate ME-2019-2 Question Paper With Solutions

LEAVE A REPLY

Please enter your comment!
Please enter your name here