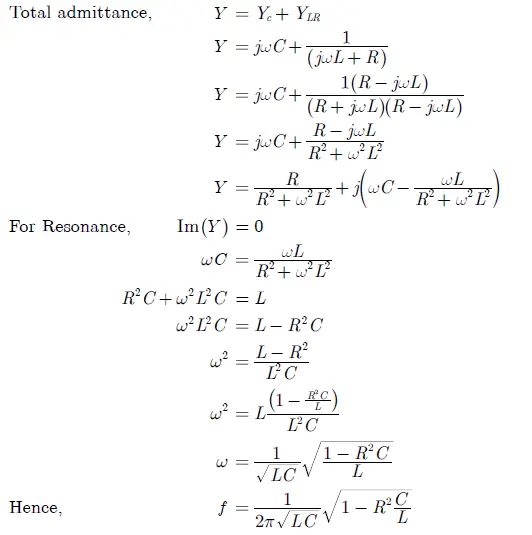
Q. 37 An LC tank circuit consists of an ideal capacitor C connected in parallel with a coil of inductance L having an internal resistance R. The resonant frequency of the tank circuit is
Answer: (B)
Explanation:

Q. 37 An LC tank circuit consists of an ideal capacitor C connected in parallel with a coil of inductance L having an internal resistance R. The resonant frequency of the tank circuit is
Answer: (B)
Explanation:
