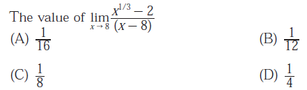
Q 1.
Answer: (C)
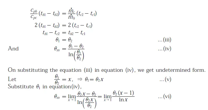
Explanation:
Q 2
(A)– 0.99
(B)– 0.16
(C) 0.16
(D) 0.99
Answer: (D)
Explanation:
Q 3.
Answer: (B)
Explanation:
Q 4. A coin is tossed 4 times. What is the probability of getting heads exactly 3 times?
Answer: (A)
Explanation:
Q 5. The matrix
Answer: (C)
Explanation:
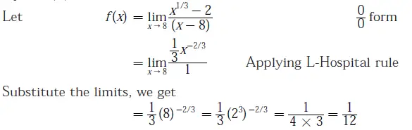
Q 6. The divergence of the vector field
(A) 0
(B) 1
(C) 2
(D) 3
Answer: (D)
Explanation:
Q 7. The transverse shear stress acting in a beam of rectangular cross-section, subjected to a transverse shear load, is
(A) variable with maximum at the bottom of the beam
(B) variable with maximum at the top of the beam
(C) uniform
(D) variable with maximum of the neutral axis
Answer: (D)
Explanation:
Q 8. A rod of Length L and diameter D is subjected to a tensile load P. Which of the following is sufficient to calculate the resulting change in diameter?
(A) Young’s modulus
(B) Shear modulus
(C) Poisson’s ratio
(D) Both Young’s modulus and shear modulus
Answer: (D)
Explanation:
Q 9.
Answer: (D)
Explanation:
Q 10. A cantilever type gate hinged at Q is shown in the figure. P and R are the centers of gravity of the cantilever part and the counterweight respectively. The mass of the cantilever part is 75 kg. The mass of the counterweight, for static balance, is
(A) 75 kg
(B) 150 kg
(C) 225 kg
(D) 300 kg
Answer: (D)
Explanation:
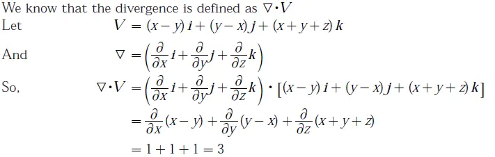
Q 11. A Planner mechanism has 8 links and 10 rotary joints. The number of degrees of freedom of the mechanism, using Gruebler’s criterion is
(A) 0
(B) 1
(C) 2
(D) 3
Answer: (B)
Explanation:
Q 12. An axial residual compressive stress due to a manufacturing process is present on the outer surface of a rotating shaft subjected to bending. Under a given bending load, the fatigue life of the shaft in the presence of the residual compressive stress is
(A) decreased
(B) increased or decreased, depending on the external bending load
(C) neither decreased nor increased
(D) increased
Answer: (D)
Explanation:
Q 13. 2 moles of oxygen are mixed adiabatically with another 2 moles of oxygen in mixing chamber, so that the final total pressure and temperature of the mixture become same as those of the individual constituents at their initial states. The universal gas constant is given as R. The change in entropy due to mixing, per mole of oxygen, is given by
Answer: (B)
Explanation:
Q 14. For flow of fluid over a heated plate, the following fluid properties are known
The hydrodynamic boundary layer thickness at a specified location on the plate is 1 mm. The thermal boundary layer thickness at the same location is
(A) 0.001 mm
(B) 0.01 mm
(C) 1 mm
(D) 1000 mm
Answer: (C)
Explanation:
Q 15.
(A) steady flow
(B) irrotational flow
(C) inviscid flow
(D) incompressible flow
Answer: (D)
Explanation:
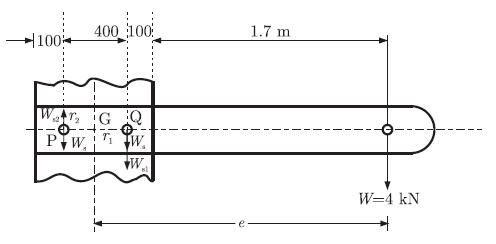
Q 16. Which one of the following is NOT a necessary assumption for the air-standard Otto cycle?
(A) All processes are both internally as well as externally reversible.
(B) Intake and exhaust processes are constant volume heat rejection processes.
(C) The combustion process is a constant volume heat addition process.
(D) The working fluid is an ideal gas with constant specific heats.
Answer: (B)
Explanation:
Q 17.
Answer: (C)
Explanation:
Q 18. A set of 5 jobs is to be processed on a single machine. The processing time (in days) table below. The holding cost for each job is Rs. K per day
A schedule that minimizes the total inventory cost is
(A) T – S –Q – R – P
(B) P – R – S –Q – T
(C) T – R – S – Q – P
(D) P –Q – R – S – T3
Answer: (A)
Explanation:
Q 19. For generating a Coon’s surface we require
(A) a set of grid points on the surface
(B) a set of grid control points
(C) four bounding curves defining the surface
(D) two bounding curves and a set of grid control points
Answer: (C)
Explanation:

(A) milling
(B) shaping with rack cutter
(C) shaping with pinion cutter
(D) hobbing
Answer: (C)
Explanation:
Q 21.
Answer: (A)
Explanation:
Q 22.
(A)– 4
(B)– 2
(C)– 1
(D) 1
Answer: (B)
Explanation:
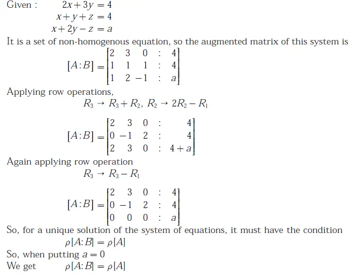
Q 23. For what value of a, if any, will the following system of equations in x, y and z have a solution?
(A) Any real number
(B) 0
(C) 1
(D) There is no such value
Answer: (B)
Explanation:
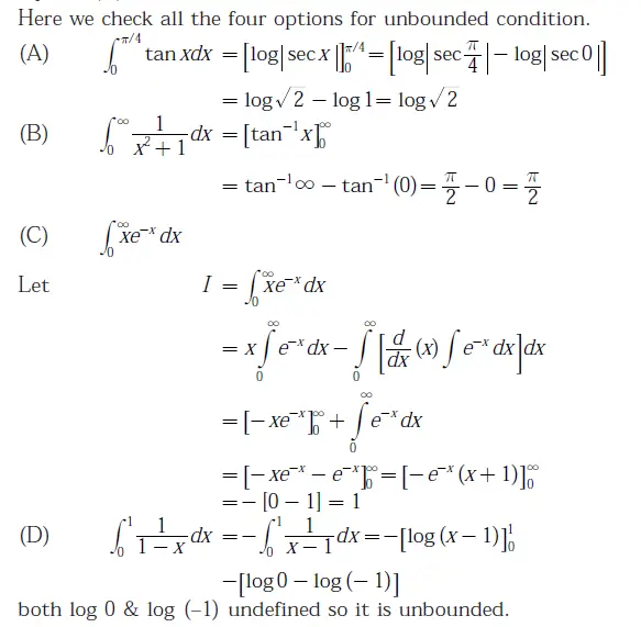
Q 24. Which of the following integrals is unbounded?
Answer: (D)
Explanation:
Q 25.
Answer: (A)
Explanation:
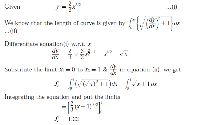
Q 26.
(A) 0.27
(B) 0.67
(C) 1
(D) 1.22
Answer: (D)
Explanation:
Q 27.
Answer: (B)
Explanation:
Q 28.
Answer: (C)
Explanation:
Q 29.
(A) 0
(B) 0.37
(C) 0.62
(D) 1.13
Answer: (A)
Explanation:
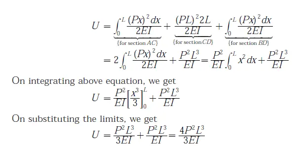
Q 30. The strain energy stored in the beam with flexural rigidity EI and loaded as shown in the figure is
Answer: (C)
Explanation:
Q 31. For the component loaded with a force F as shown in the figure, the axial stress at the corner point P is
Answer: (D)
Explanation:
Q 32. A solid circular shaft of diameter 100 mm is subjected to an axial stress of 50 Mpa. It is further subjected to a torque of 10 kNm. The maximum principal stress experienced on the shaft is closest to
(A) 41 MPa
(B) 82 MPa
(C) 164 MPa
(D) 204 MPa
Answer: (B)
Explanation:
Q 33. A circular disk of radius R rolls without slipping at a velocity v. The magnitude of the velocity at point P (see figure) is
Answer: (A)
Explanation:
Q 34. Consider a truss PQR loaded at P with a force F as shown in the figure.
The tension in the member QR is
(A) 0.5 F
(B) 0.63 F
(C) 0.73 F
(D) 0.87 F
Answer: (B)
Explanation:
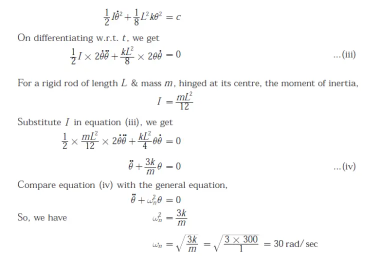
Q 35. The natural frequency of the spring mass system shown in the figure is closest to
(A) 8 Hz
(B) 10 Hz
(C) 12 Hz
(D) 14 Hz
Answer: (B)
Explanation:
Q 36. The rod PQ of length L with flexural rigidity EI is hinged at both ends. For what minimum force F is it expected to buckle?
Answer: (B)
Explanation:
Q 37.
Answer: (D)
Explanation:
Q 38.
(A) 10
(B) 20
(C) 30
(D) 40
Answer: (C)
Explanation:
Q 39. A compression spring is made of music wire of 2mm diameter having a shear strength and shear modulus of 800 MPa and 80 GPa respectively. The mean coil diameter is 20mm, free length is 40mm and the number of active coils is 10. If the mean coil diameter is reduced to 10mm, the stiffness of the spring is approximately
(A) decreased by 8 times
(B) decreased by 2 times
(C) increased by 2 times
(D) increased by 8 times
Answer: (D)
Explanation:
Q 40. A journal bearing has shaft diameter of 40mm and a length of 40mm. The shaft is rotating at 20 rad/s and the viscosity of the lubricant is 20 mPa.s. The clearance is 0.020mm .The loss of torque due to the viscosity of the lubricant is approximately
(A) 0.040 N-m
(B) 0.252 N-m
(C) 0.400 N-m
(D) 0.652 N-m
Answer: (A)
Explanation:
Q 41. A clutch has outer and inner diameters 100mm and 40 mm respectively. Assuming a uniform pressure of 2 MPa and coefficient of friction of liner material 0.4, the torque carrying capacity of the clutch is
Answer: (B)
Explanation:
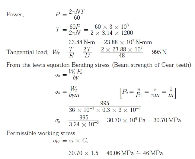
Q 42. A spur gear has a module of 3 mm, number of teeth 16, a face width of 36 mm and a pressure angle of 20°. It is transmitting a power of 3 kW at 20 rev/s. Taking a velocity factor of 1.5, and a form factor of 0.3, the stress in the gear tooth is about
(A) 32MPa
(B) 46 MPa
(C) 58MPa
(D) 70 MPa3
Answer: (B)
Explanation:
Q 43. Match the type of gears with their most appropriate description.
P. Helical
Q. Spiral Bevel
C. Hypoid
S. Rack and pinion
Description
1. Axes non parallel and non intersecting
2. Axes parallel and teeth are inclined to the axis
3. Axes parallel and teeth are parallel to the axis
4. Axes are perpendicular and intersecting, and teeth are inclined to the axis.
5. Axes are perpendicular and used for large speed reduction
6. Axes parallel and one of the gears has infinite radius
(A) P-2, Q-4, R-1, S-6
(B) P-1, Q-4, R-5, S-6
(C) P-2, Q-6, R-4, S-2
(D) P-6, Q-3, R-1, S-5
Answer: (A)
Explanation:
Q 44. A gas expands in a frictionless pistoncylinder arrangement. The expansion process is very slow, and is resisted by an ambient pressure of 100kPa. During the expansion process, the pressure of the system (gas) remains constant at 300kPa. The change in volume of the gas is 0.01m3. The maximum amount of work that could be utilized from the above process is
(A) 0 kJ
(B) 1 kJ
(C) 2 kJ
(D) 3 kJ
Answer: (C)
Explanation:
Q 45.
Answer: (C)
Explanation:
Q 46. A two dimensional fluid element rotates like a rigid body. At a point within the element, the pressure is 1 unit. Radius of the Mohr’s circle, characterizing the state of stress at the point, is
(A) 0.5 unit
(B) 0 unit
(C) 1 unit
(D) 2 unit
Answer: (B)
Explanation:
Q 47. A cyclic device operates between three thermal reservoirs, as shown in the figure. Heat is transferred to/form the cyclic device. It is assumed that heat transfer between each thermal reservoir and the cyclic device takes place across negligible temperature difference. Interactions between the cyclic device and the respective thermal reservoirs that are shown in the figure are all in the form of heat transfer.
The cyclic device can be
(A) a reversible hear engine
(B) a reversible heat pump or a reversible refrigerator
(C) an irreversible heat engine
(D) an irreversible heat pump or an irreversible refrigerator
Answer: (A)
Explanation:
Q 48. A balloon containing an ideal gas is initially kept in an evacuated and insulated room. The balloon ruptures and the gas fills up the entire room. Which one of the following statements is TRUE at the end of above process?
(A) The internal energy of the gas decreases from its initial value, but the enthalpy remains constant
(B) The internal energy of the gas increases from its initial value, but the enthalpy remains constant
(C) Both internal energy and enthalpy of the gas remain constant
(D) Both internal energy and enthalpy of the gas increase
Answer: (C)
Explanation:
Q 49. A rigid, insulated tank is initially evacuated. The tank is connected with a supply line through which air (assumed to be ideal gas with constant specific heats) passes at 1 MPa, 350C°. A valve connected with the supply line is opened and the tank is charged with air until the final pressure inside the tank reaches 1 MPa. The final temperature inside the tank
(A) is greater than 350°C
(B) is less than 350°C
(C) is equal to 350°C
(D) may be greater than, less than, or equal to350°C, depending on the volume of the tank
Answer: (A)
Explanation:
Q 50. For the three-dimensional object shown in the figure below, five faces are insulated. The sixth face (PQRS), which is not insulated, interacts thermally with the ambient, with a convective heat transfer coefficient of 10 W/m2.K. The ambient temperature is C. Heat is uniformly generated inside the object at the rate of 100 W/m3. Assuming the face PQRS to be at uniform temperature, its steady state temperature is
Answer: (D)
Explanation:
Q 51. Water, having a density of 1000 kg/, issues from a nozzle with a velocity of 10 m/s and the jet strikes a bucket mounted on a Pelton wheel. The wheel rotates at 10 rad/s. The mean diameter of the wheel is 1 m. The jet is split into two equal streams by the bucket, such that each stream is deflected by 120°, as shown in the figure. Friction in the bucket may be neglected. Magnitude of the torque exerted by the water on the wheel, per unit mass flow rate of the incoming jet, is
Answer: (None of these is correct)
Explanation:
Q 52. A thermal power plant operates on a regenerative cycle with a single open feedwater heater, as shown in the figure. For the state points shown, the specific enthalpies are: The bleed to the feedwater heater is 20% of the boiler steam generation rate. The specific enthaply at state 3 is
(A) 720 kJ/kg
(B) 2280 kJ/kg
(C) 1500 kJ/kg
(D) 3000 kJ/kg
Answer: (A)
Explanation:
Q 53. Moist air at a pressure of 100 kPa is compressed to 500 kPa and then cooled to 35C° in an aftercooler. The air at the entry to the aftercooler is unsaturated and becomes just saturated at the exit of the aftercooler. The saturation pressure of water at 35C° is 5.628 kPa. The partial pressure of water vapour (in kPa) in the moist air entering the compressor is closest to
(A) 0.57
(B) 1.13
(C) 2.26
(D) 4.52
Answer: (B)
Explanation:
Q 54. A hollow enclosure is formed between two infinitely long concentric cylinders of radii 1m and 2m,respectively. Radiative heat exchange takes place between the inner surface of the larger cylinder (surface-2) and the outer surface of the smaller cylinder (surface-1). The radiating surfaces are diffuse and the medium in the enclosure is non-participating. The fraction of the thermal radiation leaving the larger surface and striking itself is
(A) 0.25
(B) 0.5
(C) 0.75
(D) 1
Answer: (B)
Explanation:
Q 55. Air (at atmospheric pressure) at a dry bulb temperature of 40°C and wet bulb temperature of 20°Cis humidified in an air washer operating with continuous water recirculation. The wet bulb depression (i.e. the difference between the dry and wet bulb temperature) at the exit is 25% of that at the inlet. The dry bulb temperature at the exit of the air washer is closest to
(A) 10°C
(B) 20°C
(C) 25°C
(D) 30°C
Answer: (C)
Explanation:
Q 56.
Answer: ()
Explanation:
Q 57.
Answer: (C)
Explanation:
Q 58. For the standard transportation linear programme with m sources and n destinations and total supply equaling total demand, an optimal solution (lowest cost) with the smallest number of non-zero values (amounts from source i to destination j) is desired. The best upper bound for this number is
Answer: (D)
Explanation:
Q 59.
Answer: (D)
Explanation:
Q 60.
Answer: (C)
Explanation:
Q 61. The product structure of an assembly P is shown in the figure.
ignore lead times for assembly and sub-assembly. Production capacity (per week)
for component R is the bottleneck operation. Starting with zero inventory, the
smallest capacity that will ensure a feasible production plan up to week 6 is
(A) 1000
(B) 1200
(C) 2200
(D) 2400
Answer: (C)
Explanation:
Q 62. One tooth of a gear having 4 module and 32 teeth is shown in the figure. Assume that the gear tooth and the corresponding tooth space make equal intercepts on the pitch circumference. The dimensions ‘a’ and ‘b’, respectively, are closed to
(A) 6.08 mm, 4 mm
(B) 6.48mm, 4.2 mm
(C) 6.28mm, 4.3 mm
(D) 6.28mm, 4.1 mm
Answer: (D)
Explanation:
Q 63. While cooling, a cubical casting of side 40 mm undergoes 3%, 4% and 5% volume shrinkage during the liquid state, phase transition and solid state, respectively. The volume of metal compensated from the riser is
(A) 2%
(B) 7%
(C) 8%
(D) 9%
Answer: (D)
Explanation:
Q 64.
(B) 45°
(C) 0°
(D) 90°
Answer: (D)
Explanation:
Q 65.
(A) 40
(B) 25
(C) 15
(D) 79
Answer: (B)
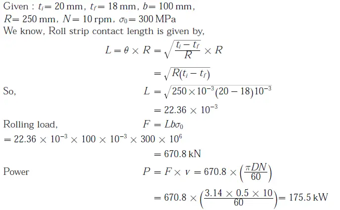
Explanation:
Q 66. In a single pass rolling operation, a 20 mm thick plate with plate width of 100 mm, is reduced to 18 mm. The roller radius is 250 mm and rotational speed is 10 rpm. The average flow stress for the plate material is 300 MPa. The power required for the rolling operation in kW is closest to
(A) 15.2
(B) 18.2
(C) 30.4
(D) 45.6
Answer: (None of These)
Explanation:
Q 67. In arc welding of a butt joint, the welding speed is to be selected such that highest cooling rate is achieved. Melting efficiency and heat transfer efficiency are 0.5 and 0.7, respectively. The area of the weld cross section is 5 and the unit energy required to melt the metal is 10 J/. If the welding power is 2 kW, the welding speed in mm/s is closest to
(A) 4
(B) 14
(C) 24
(D) 34
Answer: (B)
Explanation:
Q 68. In the deep drawing of cups, blanks show a tendency to wrinkle up around the periphery (flange).
The most likely cause and remedy of the phenomenon are, respectively,
(A) Buckling due to circumferential compression; Increase blank holder pressure
(B) High blank holder pressure and high friction; Reduce blank holder pressure and apply lubricant
(C) High temperature causing increase in circumferential length; Apply coolant to blank
(D) Buckling due to circumferential compression; decrease blank holder pressure
Answer: (A)
Explanation:
Q 69.
Answer: (C)
Explanation:
Q 70. A displacement sensor (a dial indicator) measures the lateral displacement of a mandrel mounted on the taper hole inside a drill spindle. The mandrel axis is an extension of the drill spindle taper hole axis and the protruding portion of the mandrel surface is perfectly cylindrical. Measurements are taken with the sensor placed at two positions P and Q as shown in figure. The readings are recorded as Rx = maximum deflection minus minimum deflection, corresponding to sensor position at X, over one rotation.
(A) The drill spindle rotational axis is coincident with the drill spindle taper hole axis
(B) The drill spindle rotational axis intersects the drill spindle taper hole axis at point P
(C) The drill spindle rotational axis is parallel to the drill spindle taper hole axis
(D) The drill spindle rotational axis intersects the drill spindle taper hole axis at point Q.
Answer : (C)
Explanation:
Q 71.
At the end of the process, which one of the following situations will be true?
(A) superheated vapour will be left in the system
(B) no vapour will be left in the system
(C) a liquid + vapour mixture will be left in the system
(D) the mixture will exist at a dry saturate vapour state
Answer: (A)
Explanation:
Q 72.
The work done by the system during the process is
(A) 0.1 kJ
(B) 0.2 kJ
(C) 0.3 kJ
(D) 0.4 kJ
Answer: (D)
Explanation:
Q 73.
The net entropy generation (considering the system and the thermal reservoir together) during the process is closest to
(A) 7.5 J/K
(B) 7.7 J/K
(C) 8.5 J/K
(D) 10 J/K
Answer: (C)
Explanation:
Q 74.
After some simplex iterations, the following table is obtained
From this, one can conclude that
(A) the LP has a unique optimal solution
(B) the LP has an optimal solution that is not unique
(C) the LP is infeasible
(D) the LP is unbounded
Answer: (B)
Explanation:
Q 75. 
Answer: (A)
Explanation:
Q 76.
Answer: (B)
Explanation:
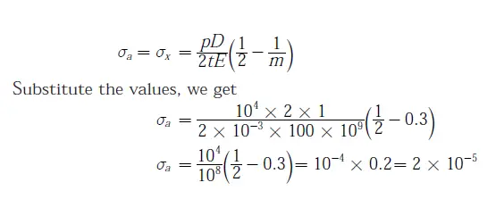
Q 77. If the Young’s modulus and Poisson’s ratio of the container material are 100GPa and 0.3, respectively, the axial strain in the cylinder wall at mid-depth is
Answer: (A)
Explanation:
Q 78.
The primary and secondary shear loads on bolt P, respectively, are
Answer: (A)
Explanation:
Q 79.
The resultant shear stress on bolt P is closest to
(A) 132MPa
(B) 159 MPa
(C) 178 MPa
(D) 195 MPa
Answer: (B)
Explanation:
Q 80. 
Answer: (A)
Explanation:
Q 81.
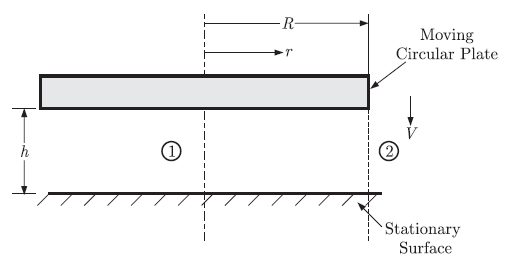
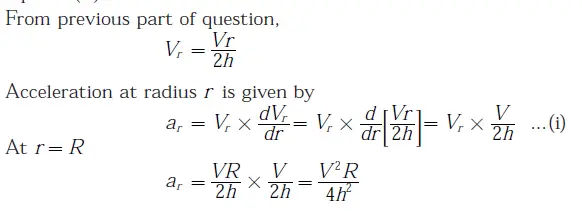
The radial component of the fluid acceleration at r = R is
Answer: (B)
Explanation:
Q 82. 
(A) 52; 320N
(B) 52; 400N
(C) 28 ; 400 N
(D) 28 ; 320 N
Answer: (D)
Explanation:
Q 83.

(A) 568 N ; 387 N
(B) 565 N ; 381 N
(C) 440 N ; 342 N
(D) 480 N ; 356 N
Answer: (B)
Explanation:
Q 84. 
(A) 0.5 microns
(B) 5 microns
(C) 50 microns
(D) 500 microns
Answer: (B)
Explanation:
Q 85.
A customer insists on a modification to change the BLU the CNC drive to 10 microns without changing the table speed. The modification can be accomplished by
Answer: (C)
Explanation:

















































































































































































































