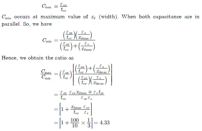
Q. 39 In a MOS capacitor with an oxide layer thickness of 10 mm, the maximum depletion layer thickness is 100 mm. The permittivities of the semiconductor and the oxide layer are respectively. Assuming
the ratio of the maximum capacitance to the minimum capacitance of this MOS capacitor is _______.
Answer:(4.33)
Explanation:












