Q. 1 Consider the following three claims
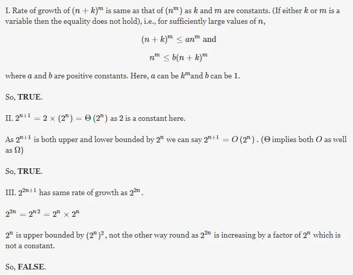
1.(n + k)m = Θ(nm), where k and m are constants 2. 2n + 1 = O(2n) 3. 22n + 1 = O(2n)
Which of these claims are correct?
(A) 1 and 2
(B) 1 and 3
(C) 2 and 3
(D) 1, 2 and 3
Answer: (A)
Explanation:
Q. 1 Consider the following three claims
1.(n + k)m = Θ(nm), where k and m are constants 2. 2n + 1 = O(2n) 3. 22n + 1 = O(2n)
Which of these claims are correct?
(A) 1 and 2
(B) 1 and 3
(C) 2 and 3
(D) 1, 2 and 3
Answer: (A)
Explanation: