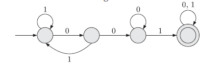
Q. 84 Consider the following deterministic finite state automaton M.
Let S denote the set of seven bit binary strings in which the first, the fourth, and
the last bits are 1. The number of strings in S that are accepted by M is
(A) 1
(B) 5
(C) 7
(D) 8
Answer: (C)
Explanation:













