Gate ME-2004 Question Paper With Solutions

Q. 1Gate ME-2004 Question Paper With Solutions Answer: (C)

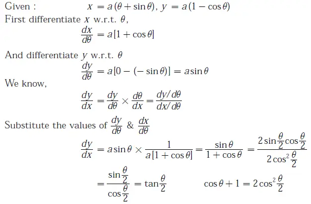
Explanation:

Gate ME-2004 Question Paper With Solutions

Learn More:   Gate EE-2017-2 Question Paper With Solutions

LEAVE A REPLY

Please enter your comment!
Please enter your name here