Gate EE-2018 Question Paper With Solutions

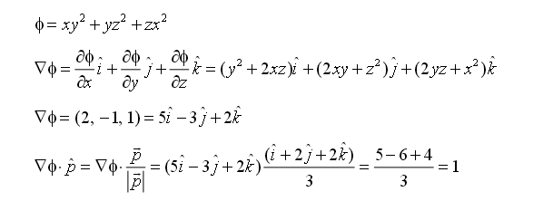
Q. 28 The value of the directional derivative of the functionGate EE-2018 Question Paper With Solutionsat the point (2, – 1, 1) in the direction of the vectorGate EE-2018 Question Paper With Solutionsis

(A) 1

(B) 0.95

(C) 0.93

(D) 0.9

Answer:(A)

Explanation:

Gate EE-2018 Question Paper With Solutions

Learn More:   Gate EC-2016 - 2 Question Paper With Solutions

LEAVE A REPLY

Please enter your comment!
Please enter your name here