Gate EE-2018 Question Paper With Solutions

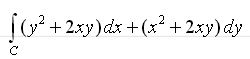
Q. 64 As shown in the figure, C is the arc from the point (3, 0) to the point (0, 3) on the circleGate EE-2018 Question Paper With Solutions. Thevalue of the integral Gate EE-2018 Question Paper With Solutions is ________ (up to 2 decimal places).

Gate EE-2018 Question Paper With Solutions

Answer:(0)

Explanation:

Gate EE-2018 Question Paper With Solutions

Learn More:   Gate EC-2016 - 1 Question Paper With Solutions

LEAVE A REPLY

Please enter your comment!
Please enter your name here