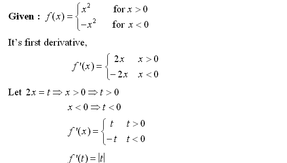
Q. 17 Let f be a real valued function of a real variable defined as , and
for
. Which of the following statement is true?
Answer:(D)
Explanation:

Q. 17 Let f be a real valued function of a real variable defined as , and
for
. Which of the following statement is true?
Answer:(D)
Explanation:
