Gate EE-2018 Question Paper With Solutions

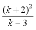
Q.1 For what values of k given below is Gate EE-2018 Question Paper With Solutions an integer?

(A) 4, 8, 18

(B) 4, 10, 16

(C) 4, 8, 28

(D) 8, 26, 28

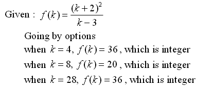
Answer:(C)

Explanation:

Gate EE-2018 Question Paper With Solutions

Learn More:   Gate EC-2016 - 3 Question Paper With Solutions

LEAVE A REPLY

Please enter your comment!
Please enter your name here