Gate EE-2018 Question Paper With Solutions

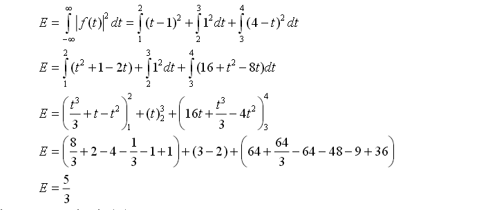
Q. 48 The signal energy of the continuous time signal
Gate EE-2018 Question Paper With Solutionsis

(A) Gate EE-2018 Question Paper With Solutions

(B)Gate EE-2018 Question Paper With Solutions

(C) Gate EE-2018 Question Paper With Solutions

(D)Gate EE-2018 Question Paper With Solutions

Answer:(D)

Explanation:

Gate EE-2018 Question Paper With Solutions Gate EE-2018 Question Paper With Solutions

Learn More:   Gate EE-2016-2 Question Paper With Solutions

LEAVE A REPLY

Please enter your comment!
Please enter your name here