Gate EE-2018 Question Paper With Solutions

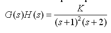
Q. 50 The unit step response y(t) of a unity feedback system with open loop transfer function Gate EE-2018 Question Paper With Solutionsis shown in the figure. The value of K is _________ (up to 2 decimal places).

Gate EE-2018 Question Paper With Solutions

Answer:(8)

Explanation:

Gate EE-2018 Question Paper With Solutions

Learn More:   Gate EC-2011 Question Paper With Solutions

LEAVE A REPLY

Please enter your comment!
Please enter your name here