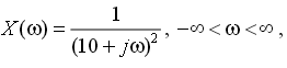
Q. 60 The Fourier transform of a continuous-time signal x(t) is given by
and
denotes frequency. Then the value of ln x (t) at t =1is _________ (up to 1 decimal place).(ln denotes the logarithm to base e).
Answer:(10)
Explanation:
Q. 60 The Fourier transform of a continuous-time signal x(t) is given by
and
denotes frequency. Then the value of ln x (t) at t =1is _________ (up to 1 decimal place).(ln denotes the logarithm to base e).
Answer:(10)
Explanation: