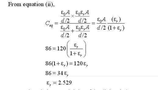
Q. 54 The capacitance of an air-filled parallel-plate capacitor is 60 pF. When a dielectric slab whose thickness is half the distance between the plates, is placed on one of the plates covering it entirely, the capacitance becomes 86 pF. Neglecting the fringing effects, the relative permittivity of the dielectric is ________ (up to 2 decimal places).
Answer:(2.53)
Explanation:













