Gate EE-2018 Question Paper With Solutions

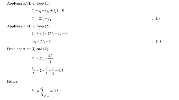
Q. 14 In the two-port network shown, theGate EE-2018 Question Paper With Solutionsparameter

Gate EE-2018 Question Paper With Solutions  in ohms is ______ (upto 2 decimal places).

Gate EE-2018 Question Paper With Solutions

Answer:(0.5)

Explanation:

Gate EE-2018 Question Paper With SolutionsGate EE-2018 Question Paper With SolutionsGate EE-2018 Question Paper With Solutions

Learn More:   Gate EC-2019 Question Paper With Solutions

LEAVE A REPLY

Please enter your comment!
Please enter your name here