Q. 26 The series impedance matrix of a short three-phase transmission line in phase coordinates is
and the zero sequence is
, then the imaginary part of
is ________ (up to 2 decimal places).
Answer:(7)
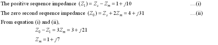
Explanation:
Q. 26 The series impedance matrix of a short three-phase transmission line in phase coordinates is
and the zero sequence is
, then the imaginary part of
is ________ (up to 2 decimal places).
Answer:(7)
Explanation: