Q. 63 Consider a system governed by the following equations

Which one of the following is true?
(A)
(B)
(C)
(D)
Answer:(B)
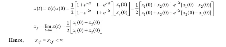
Explanation:

Q. 63 Consider a system governed by the following equations

Which one of the following is true?
(A)
(B)
(C)
(D)
Answer:(B)
Explanation:
