Gate EE-2018 Question Paper With Solutions

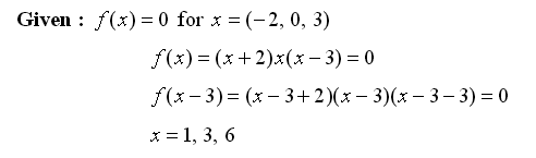
Q. 5 The three roots of the equation Gate EE-2018 Question Paper With Solutions  . What are the three values of x for which
Gate EE-2018 Question Paper With Solutions

(A) -5, -3, 0

(B) -2, 0, 3

(C) 0, 6, 8

(D) 1, 3, 6

Answer:(D)

Explanation:

Gate EE-2018 Question Paper With Solutions

Learn More:   Gate EE-2017-2 Question Paper With Solutions

LEAVE A REPLY

Please enter your comment!
Please enter your name here