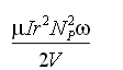
Q. 57 A transformer with toroidal core of permeability is shown in the figure. Assuming uniform flux density across the circular core cross – section of radius of
, and neglecting any leakage flux, the best estimate for the mean radius R is
(A)
(B)
(C)
(D)
Answer:(D)
Explanation:
















