Gate EE-2018 Question Paper With Solutions

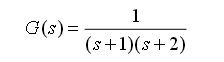
Q. 18 Consider a unity feedback system with forward transfer function is given by,

Gate EE-2018 Question Paper With SolutionsThe steady state error in the output of the system for a unit-step input is _____ (up to 2 decimal places).

Answer: (0.67 )

Explanation:

Gate EE-2018 Question Paper With Solutions

Learn More:   Gate ME-2013 Question Paper With Solutions

LEAVE A REPLY

Please enter your comment!
Please enter your name here