Gate EE-2018 Question Paper With Solutions

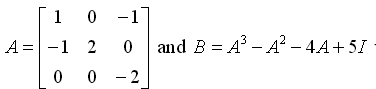
Q. 47 Let

Gate EE-2018 Question Paper With Solutions

and Gate EE-2018 Question Paper With Solutionswhere, I is the Gate EE-2018 Question Paper With Solutions identity matrix. The determinant of B is __________.(upto one decimal places)

Answer:(1)

Explanation:

Gate EE-2018 Question Paper With Solutions

Learn More:   Gate EE-2009 Question Paper With Solutions

LEAVE A REPLY

Please enter your comment!
Please enter your name here