Gate EE-2012 Question Paper With Solutions

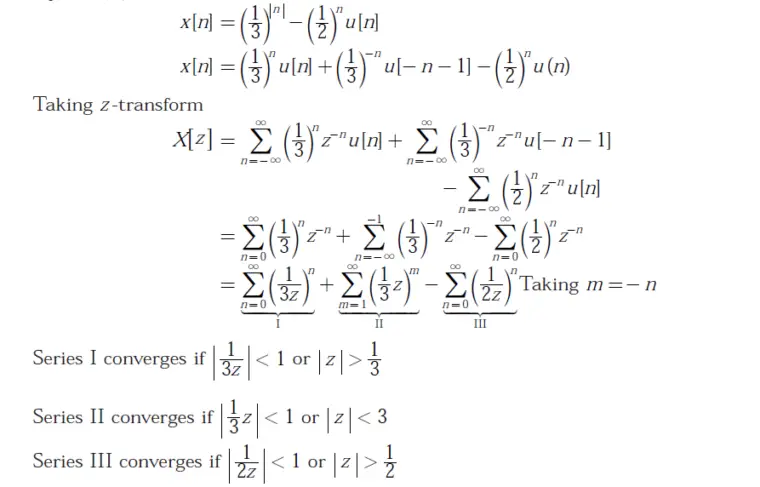
Q. 8 If Gate EE-2012 Question Paper With Solutions then the region of convergence (ROC) of its z
-transform in the z -plane will be

Gate EE-2012 Question Paper With Solutions

Answer:(C)

Explanation:

Gate EE-2012 Question Paper With Solutions

Gate EE-2012 Question Paper With Solutions

Learn More:   Gate ME 2015-2 Question Paper With Solutions

LEAVE A REPLY

Please enter your comment!
Please enter your name here