Gate EE-2012 Question Paper With Solutions

Q. 50 With 10 V dc connected at port A, the current drawn by Gate EE-2012 Question Paper With Solutionsconnected at port
B is

Gate EE-2012 Question Paper With Solutions
(A) 3/7 A

(B) 5/7 A

(C) 1A

(D) 9/7 A

Answer:(C)

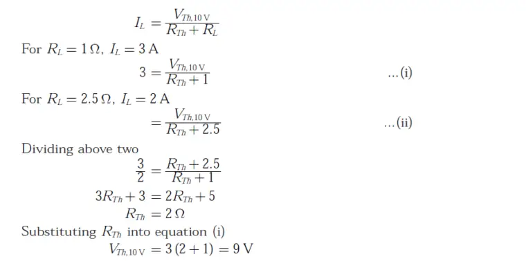
Explanation:

Gate EE-2012 Question Paper With SolutionsGate EE-2012 Question Paper With SolutionsGate EE-2012 Question Paper With SolutionsGate EE-2012 Question Paper With SolutionsGate EE-2012 Question Paper With Solutions

Learn More:   Gate EC-2015 - 1 Question Paper With Solutions

LEAVE A REPLY

Please enter your comment!
Please enter your name here