Gate EE-2012 Question Paper With Solutions

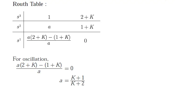
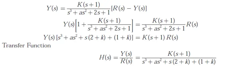
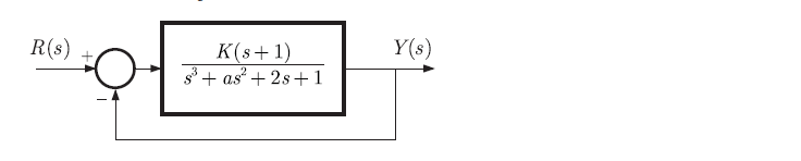
Q. 43 The feedback system shown below oscillates at 2 rad/s when

Gate EE-2012 Question Paper With Solutions
(A) K = 2 and a = 0.75

(B) K = 3 and a = 0.75

(C) K = 4 and a = 0.5

(D) K = 2 and a = 0.5

Answer:(A)

Explanation:

Gate EE-2012 Question Paper With SolutionsGate EE-2012 Question Paper With SolutionsGate EE-2012 Question Paper With Solutions

Learn More:   Gate ME-2018-1 Question Paper With Solutions

LEAVE A REPLY

Please enter your comment!
Please enter your name here