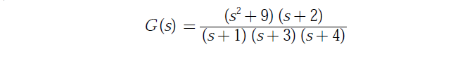
Q. 6 A system with transfer function
is excited by. The steady-state output of the system is zero at
Answer:(C)
Explanation:

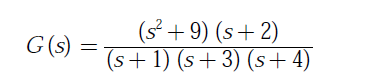
Q. 6 A system with transfer function
is excited by. The steady-state output of the system is zero at
Answer:(C)
Explanation:
