Gate EE-2012 Question Paper With Solutions

Q. 44 The input x(t) and output y(t) of a system are related as Gate EE-2012 Question Paper With Solutions

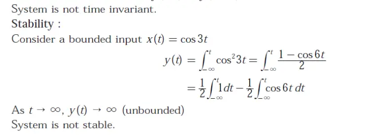
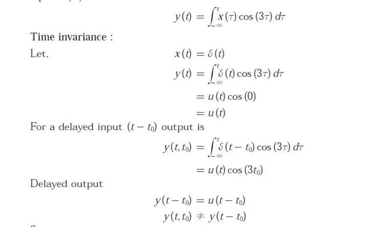
The system is

(A) time-invariant and stable

(B) stable and not time-invariant

(C) time-invariant and not stable

(D) not time-invariant and not stable

Answer:(D)

Explanation:

Gate EE-2012 Question Paper With SolutionsGate EE-2012 Question Paper With Solutions

Learn More:   Gate EC-2015 - 1 Question Paper With Solutions

LEAVE A REPLY

Please enter your comment!
Please enter your name here