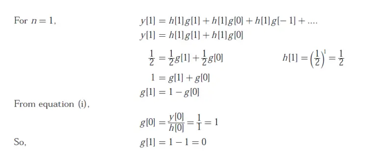
Q. 31 Let y[n] denote the convolution of h[n] and g[n], wher
is a causal sequence. If y[0] = 1 and y[1] = 1/2, then g[1] equals
(A) 0
(B) 1/2
(C) 1
(D) 3/2
Answer:(A)
Explanation:

Q. 31 Let y[n] denote the convolution of h[n] and g[n], wher
is a causal sequence. If y[0] = 1 and y[1] = 1/2, then g[1] equals
(A) 0
(B) 1/2
(C) 1
(D) 3/2
Answer:(A)
Explanation:
