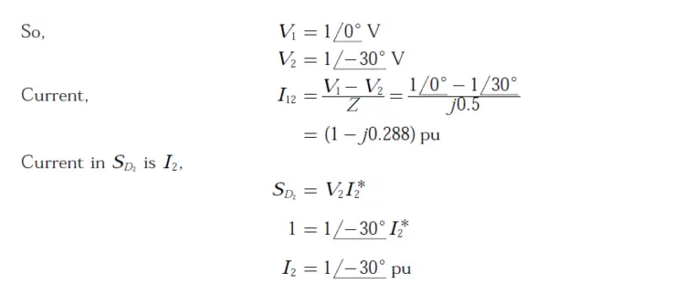
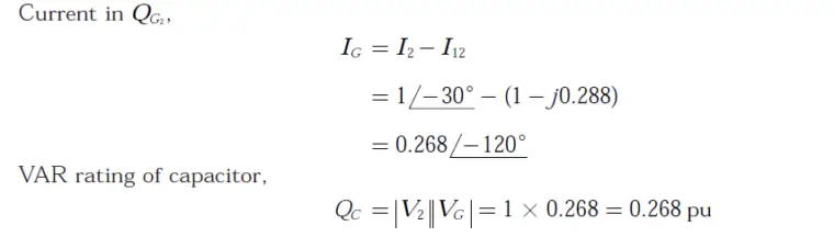
Q. 33 For the system below, and
are complex power demands at bus 1 and bus2 respectively.If
the VAR rating of the capacitor
connected at
bus 2 is
(A) 0.2 pu
(B) 0.268 pu
(C) 0.312 pu
(D) 0.4 pu
Answer:(B)
Explanation:


Q. 33 For the system below, and
are complex power demands at bus 1 and bus2 respectively.If
the VAR rating of the capacitor
connected at
bus 2 is
(A) 0.2 pu
(B) 0.268 pu
(C) 0.312 pu
(D) 0.4 pu
Answer:(B)
Explanation:

