Gate EE-2012 Question Paper With Solutions

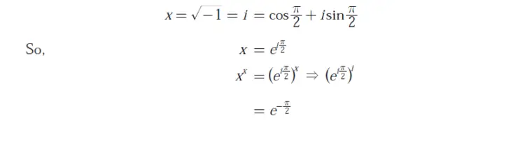
Q. 2 IfGate EE-2012 Question Paper With Solutions x then the value of xx is

Gate EE-2012 Question Paper With Solutions

Answer:(A)

Explanation:

Gate EE-2012 Question Paper With Solutions

Learn More:   Gate ME-2016-1 Question Paper With Solutions

LEAVE A REPLY

Please enter your comment!
Please enter your name here