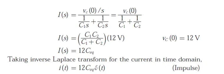
Q. 17 In the following figure, and
are ideal capacitors.
has been charged to
12 V before the ideal switch S is closed at t = 0. The current i (t) for all t is
(A) zero
(B) a step function
(C) an exponentially decaying function
(D) an impulse function
Answer:(D)
Explanation:














