Gate EE-2012 Question Paper With Solutions

Q. 29 The voltage gain Av of the circuit shown below is

Gate EE-2012 Question Paper With Solutions Gate EE-2012 Question Paper With Solutions

Answer:(D)

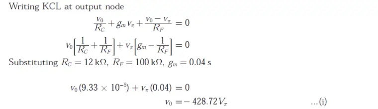
Explanation:

Gate EE-2012 Question Paper With Solutions Gate EE-2012 Question Paper With Solutions Gate EE-2012 Question Paper With Solutions Gate EE-2012 Question Paper With Solutions Gate EE-2012 Question Paper With Solutions

Learn More:   Gate EC-2016 - 1 Question Paper With Solutions

LEAVE A REPLY

Please enter your comment!
Please enter your name here