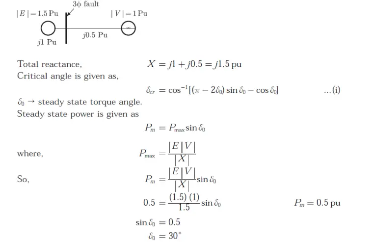
Q. 34 A cylinder rotor generator delivers 0.5 pu power in the steady-state to an infinite
bus through a transmission line of reactance 0.5 pu. The generator no-load voltage
is 1.5 pu and the infinite bus voltage is 1 pu. The inertia constant of the generator
is 5MW-s/MVA and the generator reactance is 1 pu. The critical clearing angle,
in degrees, for a three-phase dead short circuit fault at the generator terminal is
(A) 53.5
(B) 60.2
(C) 70.8
(D) 79.6
Answer:(D)
Explanation:













