Gate EE-2012 Question Paper With Solutions

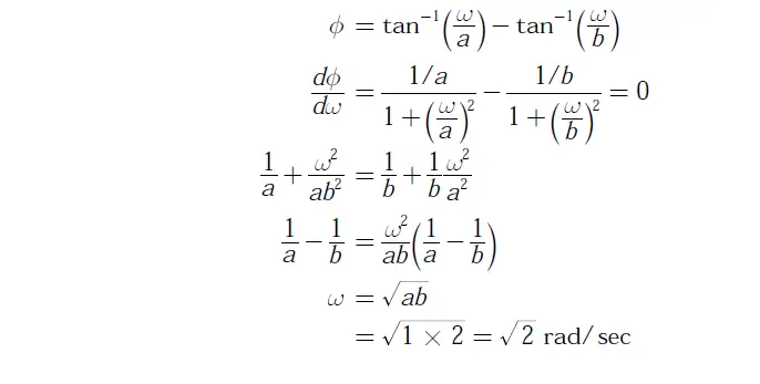
Q. 55 The phase of the above lead compensator is maximum at

Gate EE-2012 Question Paper With SolutionsGate EE-2012 Question Paper With Solutions

Answer:(A)

Explanation:

Gate EE-2012 Question Paper With Solutions

Learn More:   Gate EC-2016 - 3 Question Paper With Solutions

LEAVE A REPLY

Please enter your comment!
Please enter your name here