Gate EE-2012 Question Paper With Solutions

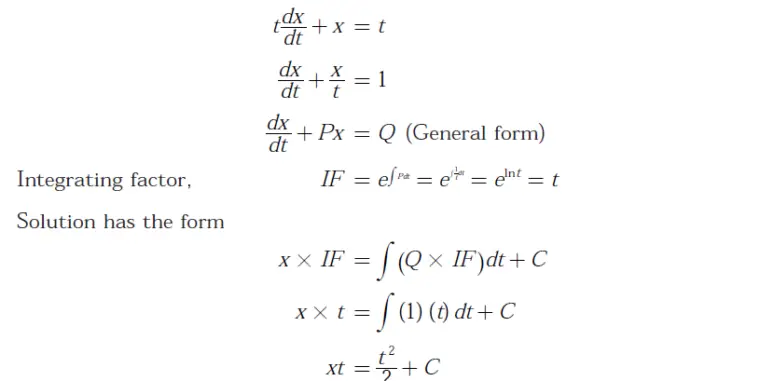
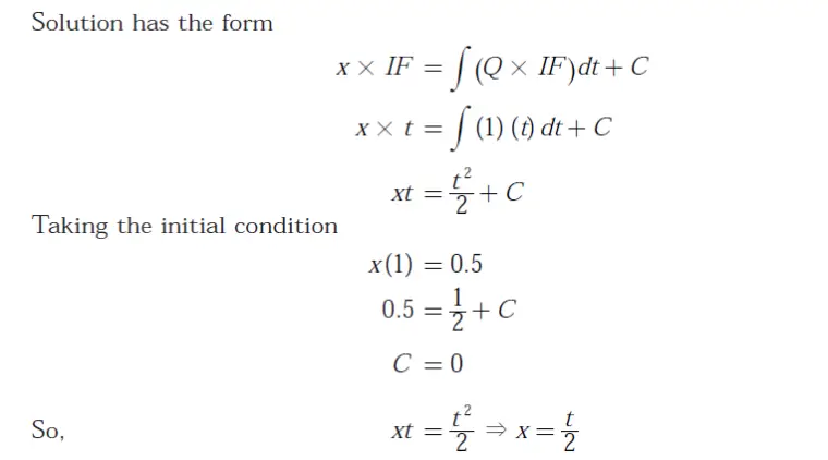
Q. 14 With initial condition x(1) = 0.5, the solution of the differential equation

Gate EE-2012 Question Paper With Solutions

Gate EE-2012 Question Paper With Solutions

Answer:(D)

Explanation:

Gate EE-2012 Question Paper With SolutionsGate EE-2012 Question Paper With Solutions

Learn More:   Gate ME-2018-1 Question Paper With Solutions

LEAVE A REPLY

Please enter your comment!
Please enter your name here