Gate EE-2012 Question Paper With Solutions

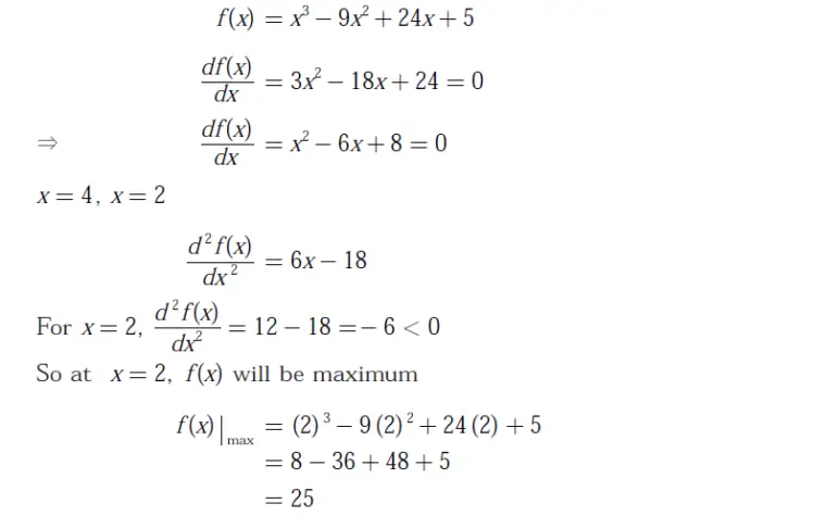
Q. 27 The maximum value ofGate EE-2012 Question Paper With Solutions in the interval [1,6] is

(A) 21

(B) 25

(C) 41

(D) 46

Answer:(B)

Explanation:

Gate EE-2012 Question Paper With Solutions

Learn More:   Gate ME-2012 Question Paper With Solutions

LEAVE A REPLY

Please enter your comment!
Please enter your name here