Gate EE-2012 Question Paper With Solutions

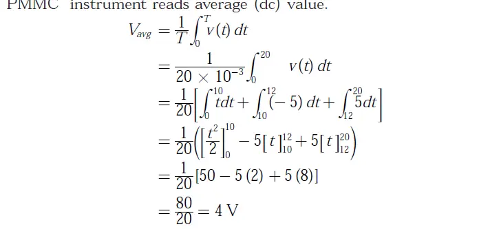
Q. 12 A periodic voltage waveform observed on an oscilloscope across a load is shown.
A permanent magnet moving coil (PMMC) meter connected across the same load
reads

Gate EE-2012 Question Paper With Solutions
(A) 4 V

(B) 5 V

(C) 8 V

(D) 10 V

Answer:(A)

Explanation:

Gate EE-2012 Question Paper With Solutions

Learn More:   Gate EC-2009 Question Paper With Solutions

LEAVE A REPLY

Please enter your comment!
Please enter your name here